良师爱电源
首页
电源人生&随想记录
知识分享&成就之最
良师介绍&联系方式
登录
菜单
首页
电源人生&随想记录
知识分享&成就之最
良师介绍&联系方式
Administrator
发布于 2025-11-09
/
7 阅读
0
0
分享
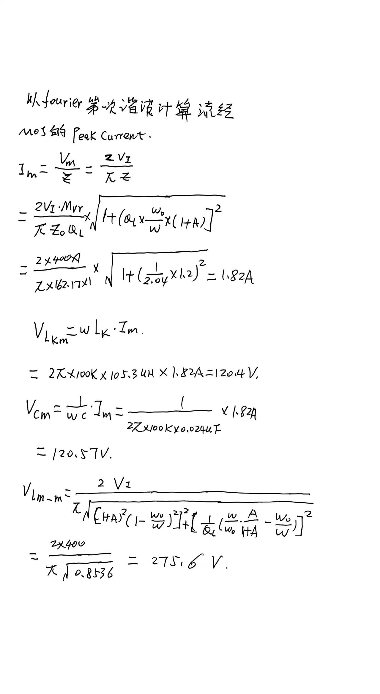
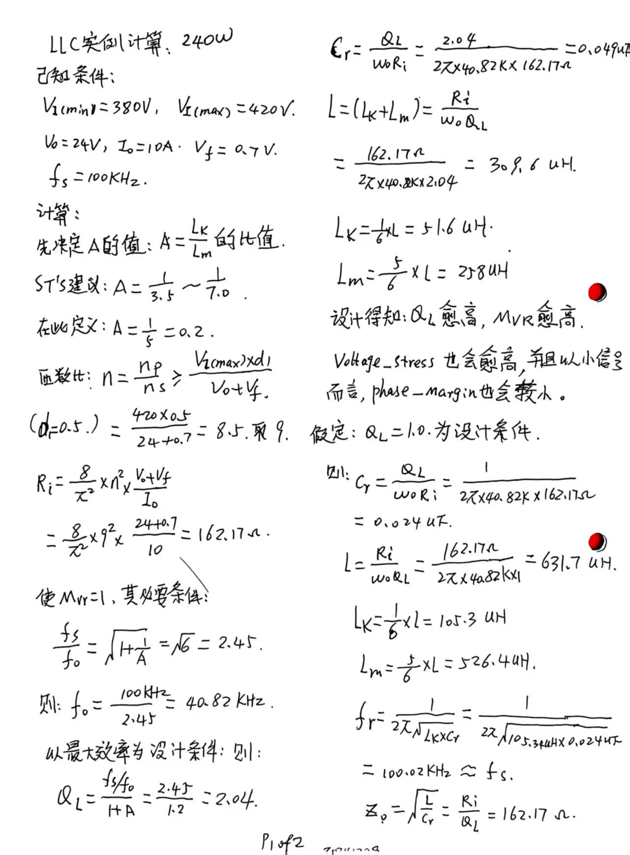
LLC谐振参数计算240W
电解电容器使用寿命计算方法
高频磁元件用的绝缘等级B级、F级和...
评论